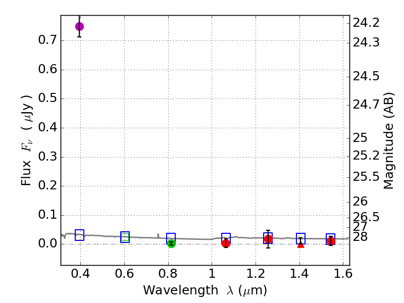
RXS0603+42-S IR detection object #6768

Color images and BPZ results
Catalog: 6768.cat
Black segments are analyzed here.   Roll mouse over color images to view segments.
Best viewed in a wide browser window (1200 pixels or more).   Download SED & P(z) plots to view larger versions.
In P(z) plots: Yellow lines mark the cluster redshift z = 0.228,  

Object #6768   x,y = (2438, 1246)   RA, Dec = (06:03:26.760, 42:08:40.92) = (90.86150, 42.14470)   BPZ = 1.699 [1.083--2.367]   type = 11.00 (SB11_A_0_l)   stellarity = 0.64   chisq2 = 125.40   ODDS = 0.35   z_cluster = 0.228