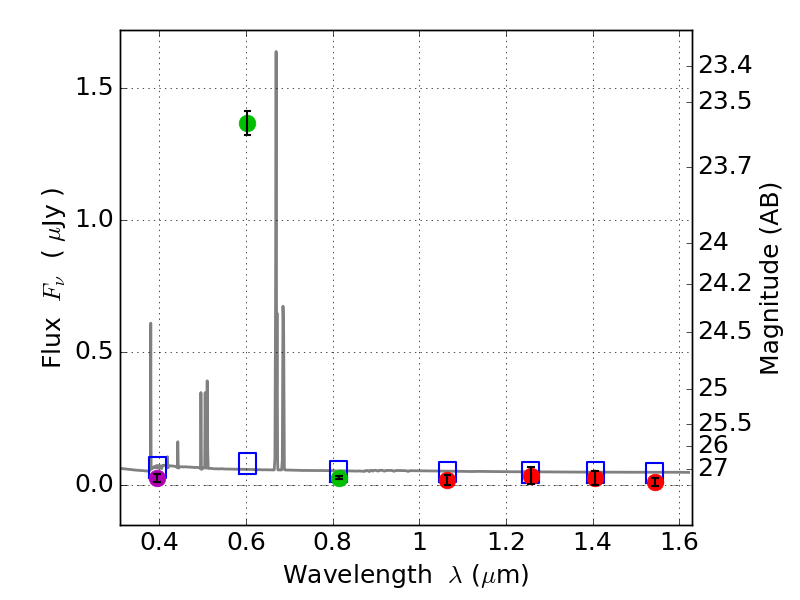
RXS0603+42-S IR detection object #6664

Color images and BPZ results
Catalog: 6664.cat
Black segments are analyzed here.   Roll mouse over color images to view segments.
Best viewed in a wide browser window (1200 pixels or more).   Download SED & P(z) plots to view larger versions.
In P(z) plots: Yellow lines mark the cluster redshift z = 0.228,  

Object #6664   x,y = (2678, 1285)   RA, Dec = (06:03:25.464, 42:08:43.44) = (90.85610, 42.14540)   BPZ = 0.023 [0.010--0.063]   type = 11.00 (SB11_A_0_l)   stellarity = 0.64   chisq2 = 197.80   ODDS = 0.98   z_cluster = 0.228