RXS0603+42-S IR detection object #6560

Color images and BPZ results
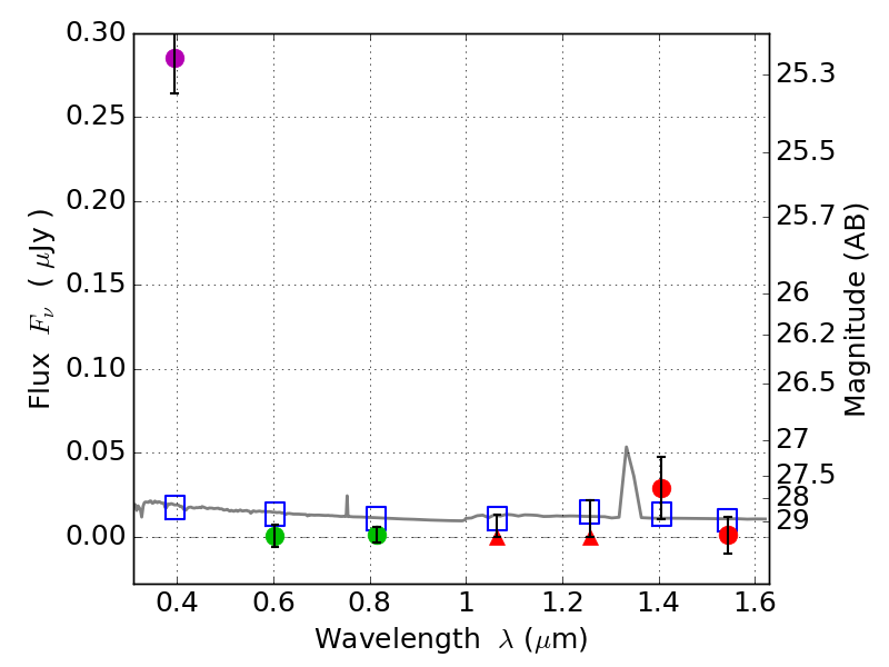
Catalog: 6560.cat
Black segments are analyzed here.   Roll mouse over color images to view segments.
Best viewed in a wide browser window (1200 pixels or more).   Download SED & P(z) plots to view larger versions.
In P(z) plots: Yellow lines mark the cluster redshift z = 0.228,  

Object #6560   x,y = (3515, 1340)   RA, Dec = (06:03:20.952, 42:08:46.68) = (90.83730, 42.14630)   BPZ = 1.694 [0.611--4.415]   type = 11.00 (SB11_A_0_l)   stellarity = 0.75   chisq2 = 41.48   ODDS = 0.22   z_cluster = 0.228