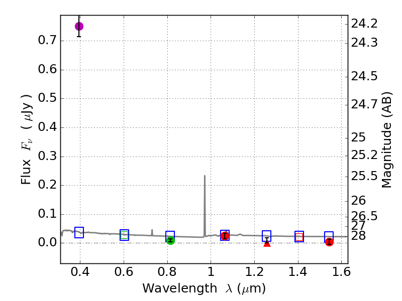
RXS0603+42-S IR detection object #6511

Color images and BPZ results
Catalog: 6511.cat
Black segments are analyzed here.   Roll mouse over color images to view segments.
Best viewed in a wide browser window (1200 pixels or more).   Download SED & P(z) plots to view larger versions.
In P(z) plots: Yellow lines mark the cluster redshift z = 0.228,  

Object #6511   x,y = (2078, 1361)   RA, Dec = (06:03:28.704, 42:08:48.12) = (90.86960, 42.14670)   BPZ = 1.612 [1.082--2.219]   type = 11.00 (SB11_A_0_l)   stellarity = 0.95   chisq2 = 181.20   ODDS = 0.40   z_cluster = 0.228