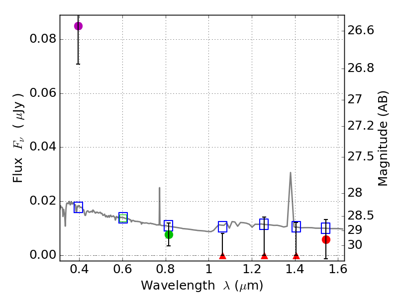
RXS0603+42-S IR detection object #6429

Color images and BPZ results
Catalog: 6429.cat
Black segments are analyzed here.   Roll mouse over color images to view segments.
Best viewed in a wide browser window (1200 pixels or more).   Download SED & P(z) plots to view larger versions.
In P(z) plots: Yellow lines mark the cluster redshift z = 0.228,  

Object #6429   x,y = (2010, 1405)   RA, Dec = (06:03:29.064, 42:08:50.64) = (90.87110, 42.14740)   BPZ = 1.763 [0.307--3.747]   type = 11.00 (SB11_A_0_l)   stellarity = 0.40   chisq2 = 8.80   ODDS = 0.16   z_cluster = 0.228