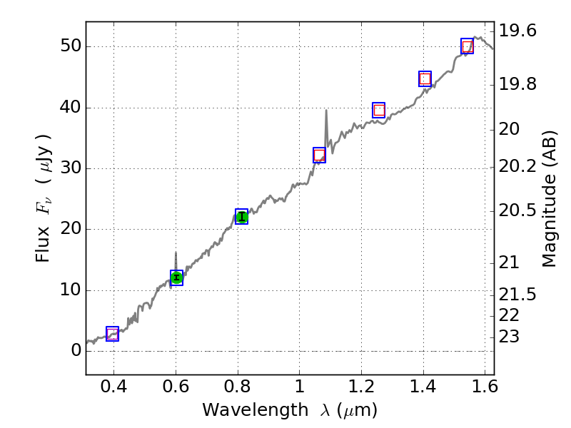
RXS0603+42-S IR detection object #638

Color images and BPZ results
Catalog: 638.cat
Black segments are analyzed here.   Roll mouse over color images to view segments.
Best viewed in a wide browser window (1200 pixels or more).   Download SED & P(z) plots to view larger versions.
In P(z) plots: Yellow lines mark the cluster redshift z = 0.228,  

Object #638   x,y = (2772, 4062)   RA, Dec = (06:03:24.960, 42:11:30.12) = (90.85400, 42.19170)   BPZ = 0.198 [0.119--0.699]   type = 6.10 (Sbc_B10 - Scd_B10)   stellarity = 0.04   chisq2 = 0.00   ODDS = 0.23   z_cluster = 0.228