RXS0603+42-S IR detection object #6361

Color images and BPZ results
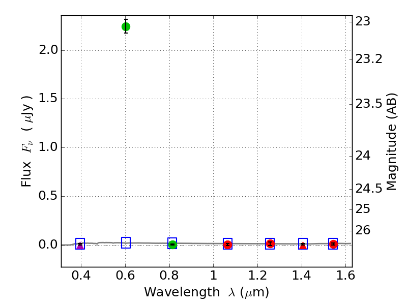
Catalog: 6361.cat
Black segments are analyzed here.   Roll mouse over color images to view segments.
Best viewed in a wide browser window (1200 pixels or more).   Download SED & P(z) plots to view larger versions.
In P(z) plots: Yellow lines mark the cluster redshift z = 0.228,  

Object #6361   x,y = (2169, 1443)   RA, Dec = (06:03:28.200, 42:08:52.80) = (90.86750, 42.14800)   BPZ = 2.898 [0.160--3.869]   type = 11.00 (SB11_A_0_l)   stellarity = 0.65   chisq2 = 252.80   ODDS = 0.19   z_cluster = 0.228