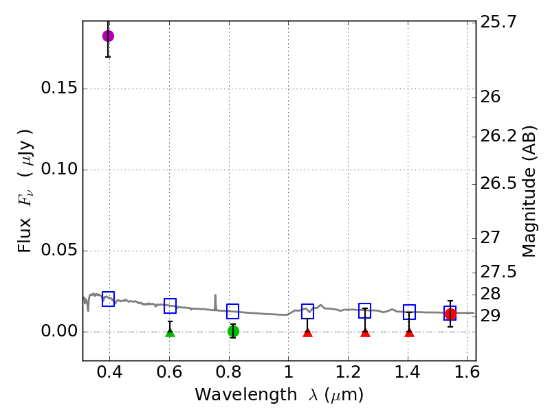
RXS0603+42-S IR detection object #6320

Color images and BPZ results
Catalog: 6320.cat
Black segments are analyzed here.   Roll mouse over color images to view segments.
Best viewed in a wide browser window (1200 pixels or more).   Download SED & P(z) plots to view larger versions.
In P(z) plots: Yellow lines mark the cluster redshift z = 0.228,  

Object #6320   x,y = (3261, 1469)   RA, Dec = (06:03:22.320, 42:08:54.60) = (90.84300, 42.14850)   BPZ = 1.700 [1.118--2.317]   type = 11.00 (SB11_A_0_l)   stellarity = 0.73   chisq2 = 42.14   ODDS = 0.33   z_cluster = 0.228