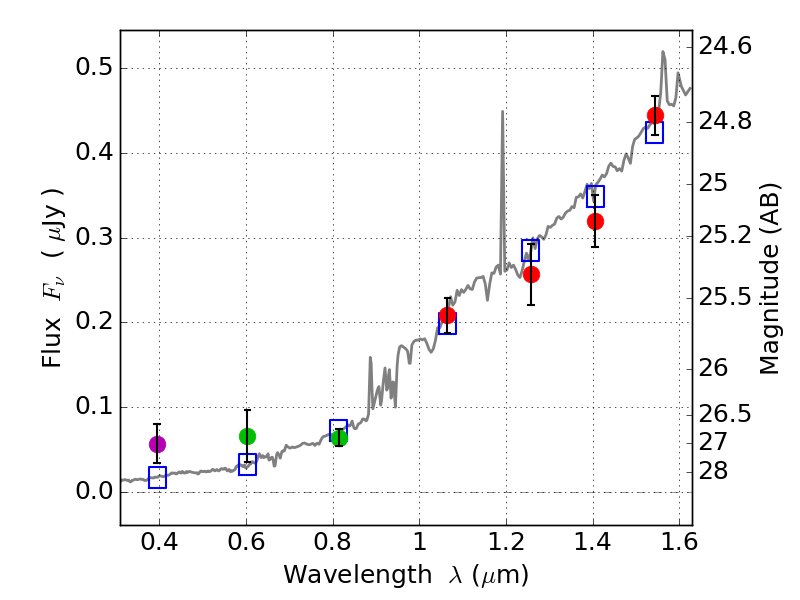
RXS0603+42-S IR detection object #6236

Color images and BPZ results
Catalog: 6236.cat
Black segments are analyzed here.   Roll mouse over color images to view segments.
Best viewed in a wide browser window (1200 pixels or more).   Download SED & P(z) plots to view larger versions.
In P(z) plots: Yellow lines mark the cluster redshift z = 0.228,  

Object #6236   x,y = (2086, 1476)   RA, Dec = (06:03:28.656, 42:08:54.96) = (90.86940, 42.14860)   BPZ = 1.382 [1.118--1.763]   type = 6.30 (Sbc_B10 - Scd_B10)   stellarity = 0.08   chisq2 = 0.79   ODDS = 0.46   z_cluster = 0.228