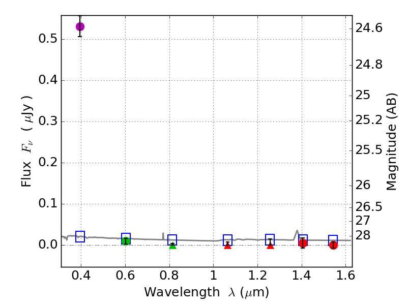
RXS0603+42-S IR detection object #6209

Color images and BPZ results
Catalog: 6209.cat
Black segments are analyzed here.   Roll mouse over color images to view segments.
Best viewed in a wide browser window (1200 pixels or more).   Download SED & P(z) plots to view larger versions.
In P(z) plots: Yellow lines mark the cluster redshift z = 0.228,  

Object #6209   x,y = (3617, 1506)   RA, Dec = (06:03:20.400, 42:08:56.76) = (90.83500, 42.14910)   BPZ = 1.763 [0.983--2.394]   type = 11.00 (SB11_A_0_l)   stellarity = 0.74   chisq2 = 105.20   ODDS = 0.36   z_cluster = 0.228