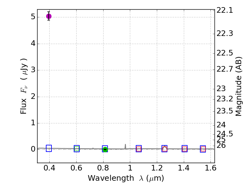
RXS0603+42-S IR detection object #6182

Color images and BPZ results
Catalog: 6182.cat
Black segments are analyzed here.   Roll mouse over color images to view segments.
Best viewed in a wide browser window (1200 pixels or more).   Download SED & P(z) plots to view larger versions.
In P(z) plots: Yellow lines mark the cluster redshift z = 0.228,  

Object #6182   x,y = (1620, 1518)   RA, Dec = (06:03:31.176, 42:08:57.48) = (90.87990, 42.14930)   BPZ = 1.595 [0.542--4.288]   type = 11.00 (SB11_A_0_l)   stellarity = 1.00   chisq2 = 1029.00   ODDS = 0.19   z_cluster = 0.228