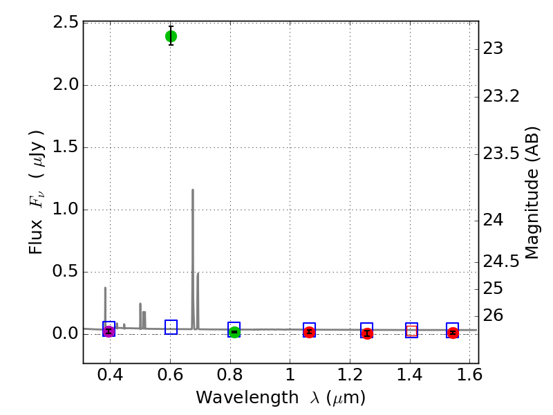
RXS0603+42-S IR detection object #6131

Color images and BPZ results
Catalog: 6131.cat
Black segments are analyzed here.   Roll mouse over color images to view segments.
Best viewed in a wide browser window (1200 pixels or more).   Download SED & P(z) plots to view larger versions.
In P(z) plots: Yellow lines mark the cluster redshift z = 0.228,  

Object #6131   x,y = (1793, 1543)   RA, Dec = (06:03:30.240, 42:08:58.92) = (90.87600, 42.14970)   BPZ = 0.029 [0.014--3.313]   type = 11.00 (SB11_A_0_l)   stellarity = 0.72   chisq2 = 343.10   ODDS = 0.32   z_cluster = 0.228