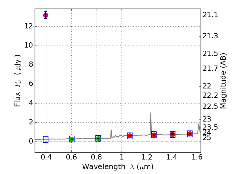
RXS0603+42-S IR detection object #6004

Color images and BPZ results
Catalog: 6004.cat
Black segments are analyzed here.   Roll mouse over color images to view segments.
Best viewed in a wide browser window (1200 pixels or more).   Download SED & P(z) plots to view larger versions.
In P(z) plots: Yellow lines mark the cluster redshift z = 0.228,  

Object #6004   x,y = (3632, 1593)   RA, Dec = (06:03:20.304, 42:09:01.80) = (90.83460, 42.15050)   BPZ = 1.459 [1.295--1.659]   type = 9.00 (SB2_B10)   stellarity = 0.92   chisq2 = 272.30   ODDS = 0.72   z_cluster = 0.228