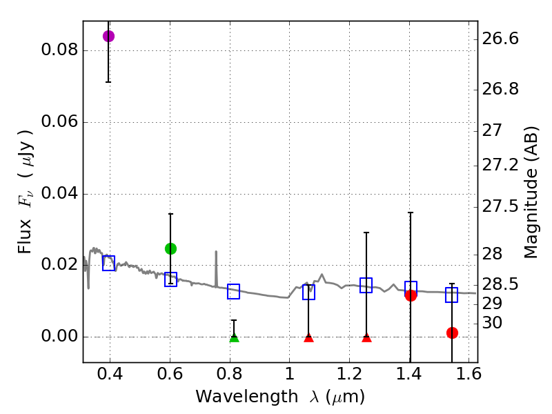
RXS0603+42-S IR detection object #5955

Color images and BPZ results
Catalog: 5955.cat
Black segments are analyzed here.   Roll mouse over color images to view segments.
Best viewed in a wide browser window (1200 pixels or more).   Download SED & P(z) plots to view larger versions.
In P(z) plots: Yellow lines mark the cluster redshift z = 0.228,  

Object #5955   x,y = (1656, 1655)   RA, Dec = (06:03:30.960, 42:09:05.76) = (90.87900, 42.15160)   BPZ = 1.697 [0.589--2.687]   type = 11.00 (SB11_A_0_l)   stellarity = 0.37   chisq2 = 8.14   ODDS = 0.25   z_cluster = 0.228