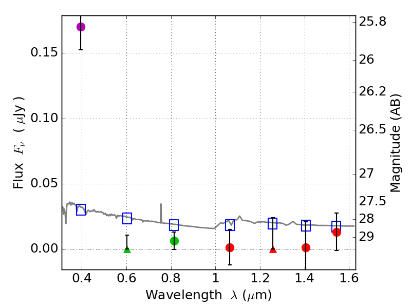
RXS0603+42-S IR detection object #5765

Color images and BPZ results
Catalog: 5765.cat
Black segments are analyzed here.   Roll mouse over color images to view segments.
Best viewed in a wide browser window (1200 pixels or more).   Download SED & P(z) plots to view larger versions.
In P(z) plots: Yellow lines mark the cluster redshift z = 0.228,  

Object #5765   x,y = (3585, 1729)   RA, Dec = (06:03:20.568, 42:09:10.08) = (90.83570, 42.15280)   BPZ = 1.700 [0.823--2.424]   type = 11.00 (SB11_A_0_l)   stellarity = 0.04   chisq2 = 18.10   ODDS = 0.27   z_cluster = 0.228