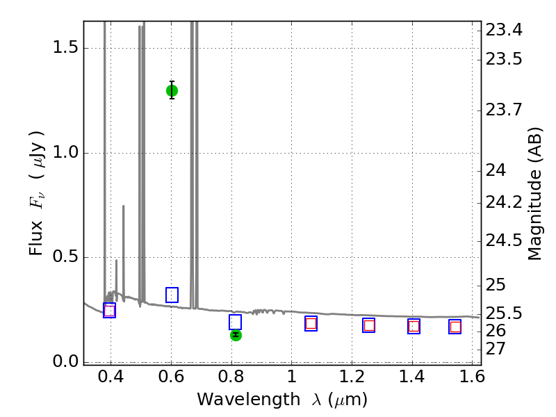
RXS0603+42-S IR detection object #5743

Color images and BPZ results
Catalog: 5743.cat
Black segments are analyzed here.   Roll mouse over color images to view segments.
Best viewed in a wide browser window (1200 pixels or more).   Download SED & P(z) plots to view larger versions.
In P(z) plots: Yellow lines mark the cluster redshift z = 0.228,  

Object #5743   x,y = (3824, 1737)   RA, Dec = (06:03:19.272, 42:09:10.44) = (90.83030, 42.15290)   BPZ = 0.016 [0.010--0.032]   type = 11.00 (SB11_A_0_l)   stellarity = 0.99   chisq2 = 435.10   ODDS = 1.00   z_cluster = 0.228