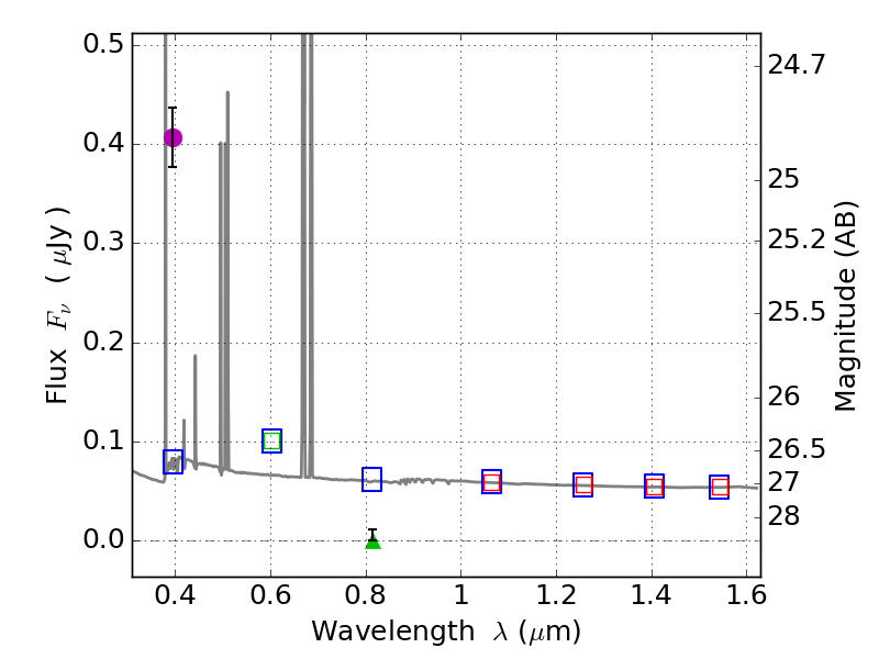
RXS0603+42-S IR detection object #5665

Color images and BPZ results
Catalog: 5665.cat
Black segments are analyzed here.   Roll mouse over color images to view segments.
Best viewed in a wide browser window (1200 pixels or more).   Download SED & P(z) plots to view larger versions.
In P(z) plots: Yellow lines mark the cluster redshift z = 0.228,  

Object #5665   x,y = (807, 1769)   RA, Dec = (06:03:35.544, 42:09:12.60) = (90.89810, 42.15350)   BPZ = 0.020 [0.010--1.427]   type = 11.00 (SB11_A_0_l)   stellarity = 0.64   chisq2 = 138.50   ODDS = 0.95   z_cluster = 0.228