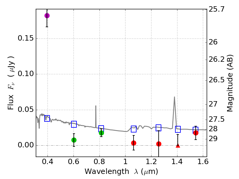
RXS0603+42-S IR detection object #4785

Color images and BPZ results
Catalog: 4785.cat
Black segments are analyzed here.   Roll mouse over color images to view segments.
Best viewed in a wide browser window (1200 pixels or more).   Download SED & P(z) plots to view larger versions.
In P(z) plots: Yellow lines mark the cluster redshift z = 0.228,  

Object #4785   x,y = (2186, 2185)   RA, Dec = (06:03:28.104, 42:09:37.44) = (90.86710, 42.16040)   BPZ = 1.764 [1.051--2.299]   type = 11.00 (SB11_A_0_l)   stellarity = 0.43   chisq2 = 23.46   ODDS = 0.38   z_cluster = 0.228