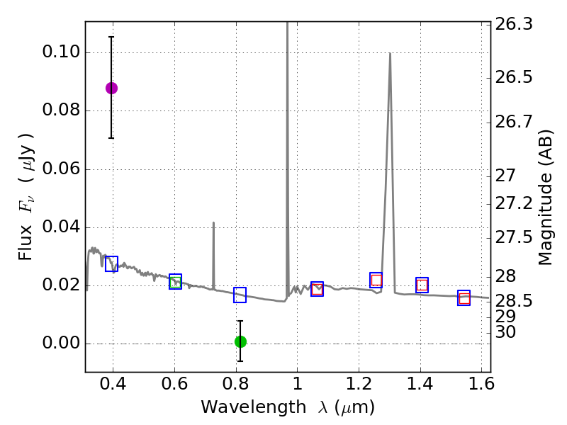
RXS0603+42-S IR detection object #4706

Color images and BPZ results
Catalog: 4706.cat
Black segments are analyzed here.   Roll mouse over color images to view segments.
Best viewed in a wide browser window (1200 pixels or more).   Download SED & P(z) plots to view larger versions.
In P(z) plots: Yellow lines mark the cluster redshift z = 0.228,  

Object #4706   x,y = (1113, 2310)   RA, Dec = (06:03:33.888, 42:09:45.00) = (90.89120, 42.16250)   BPZ = 1.597 [0.494--6.946]   type = 11.00 (SB11_A_0_l)   stellarity = 0.68   chisq2 = 16.91   ODDS = 0.14   z_cluster = 0.228