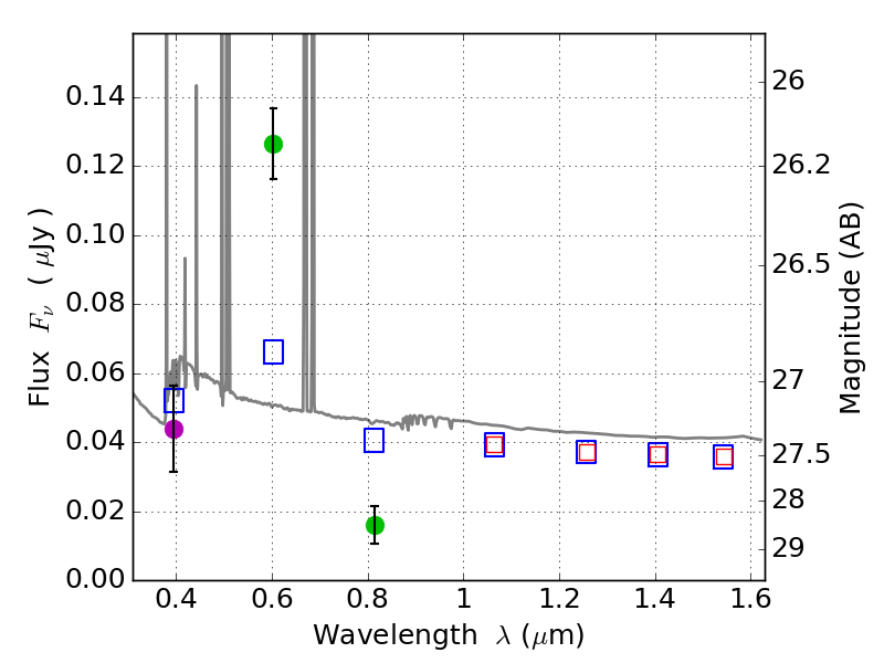
RXS0603+42-S IR detection object #4314

Color images and BPZ results
Catalog: 4314.cat
Black segments are analyzed here.   Roll mouse over color images to view segments.
Best viewed in a wide browser window (1200 pixels or more).   Download SED & P(z) plots to view larger versions.
In P(z) plots: Yellow lines mark the cluster redshift z = 0.228,  

Object #4314   x,y = (3761, 2422)   RA, Dec = (06:03:19.608, 42:09:51.48) = (90.83170, 42.16430)   BPZ = 0.022 [0.010--1.929]   type = 11.00 (SB11_A_0_l)   stellarity = 0.40   chisq2 = 41.68   ODDS = 0.96   z_cluster = 0.228