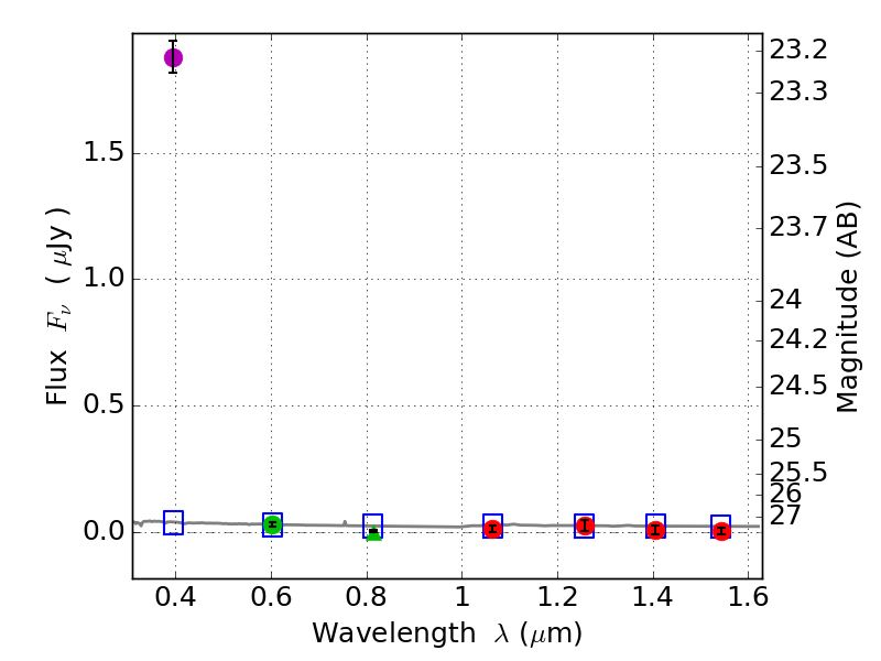
RXS0603+42-S IR detection object #4286

Color images and BPZ results
Catalog: 4286.cat
Black segments are analyzed here.   Roll mouse over color images to view segments.
Best viewed in a wide browser window (1200 pixels or more).   Download SED & P(z) plots to view larger versions.
In P(z) plots: Yellow lines mark the cluster redshift z = 0.228,  

Object #4286   x,y = (3296, 2435)   RA, Dec = (06:03:22.128, 42:09:52.56) = (90.84220, 42.16460)   BPZ = 1.700 [1.174--2.280]   type = 11.00 (SB11_A_0_l)   stellarity = 0.97   chisq2 = 225.40   ODDS = 0.46   z_cluster = 0.228