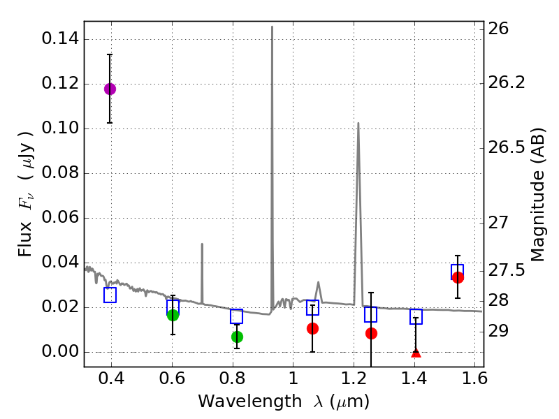
RXS0603+42-S IR detection object #3528

Color images and BPZ results
Catalog: 3528.cat
Black segments are analyzed here.   Roll mouse over color images to view segments.
Best viewed in a wide browser window (1200 pixels or more).   Download SED & P(z) plots to view larger versions.
In P(z) plots: Yellow lines mark the cluster redshift z = 0.228,  

Object #3528   x,y = (1930, 2816)   RA, Dec = (06:03:29.496, 42:10:15.24) = (90.87290, 42.17090)   BPZ = 1.497 [1.152--2.381]   type = 11.00 (SB11_A_0_l)   stellarity = 0.36   chisq2 = 9.99   ODDS = 0.26   z_cluster = 0.228