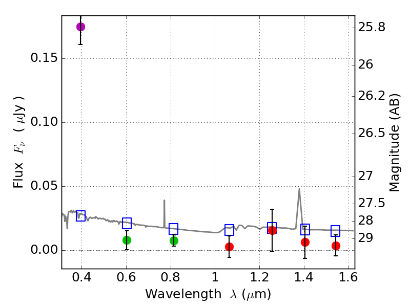
RXS0603+42-S IR detection object #3488

Color images and BPZ results
Catalog: 3488.cat
Black segments are analyzed here.   Roll mouse over color images to view segments.
Best viewed in a wide browser window (1200 pixels or more).   Download SED & P(z) plots to view larger versions.
In P(z) plots: Yellow lines mark the cluster redshift z = 0.228,  

Object #3488   x,y = (2729, 2834)   RA, Dec = (06:03:25.176, 42:10:16.32) = (90.85490, 42.17120)   BPZ = 1.762 [1.086--2.266]   type = 11.00 (SB11_A_0_l)   stellarity = 0.66   chisq2 = 29.43   ODDS = 0.43   z_cluster = 0.228