RXS0603+42-S IR detection object #3322

Color images and BPZ results
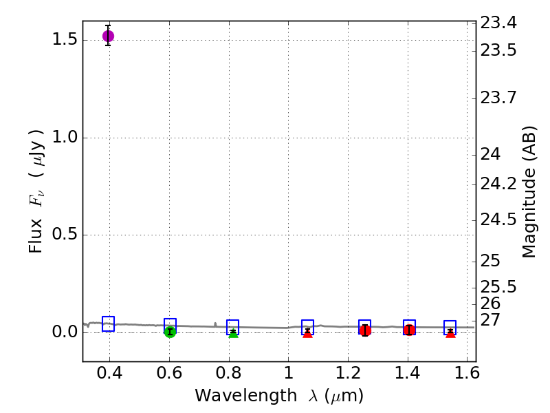
Catalog: 3322.cat
Black segments are analyzed here.   Roll mouse over color images to view segments.
Best viewed in a wide browser window (1200 pixels or more).   Download SED & P(z) plots to view larger versions.
In P(z) plots: Yellow lines mark the cluster redshift z = 0.228,  

Object #3322   x,y = (1664, 2909)   RA, Dec = (06:03:30.936, 42:10:21.00) = (90.87890, 42.17250)   BPZ = 1.699 [1.161--2.232]   type = 11.00 (SB11_A_0_l)   stellarity = 0.91   chisq2 = 216.00   ODDS = 0.47   z_cluster = 0.228