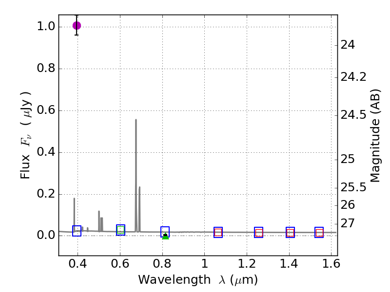
RXS0603+42-S IR detection object #3168

Color images and BPZ results
Catalog: 3168.cat
Black segments are analyzed here.   Roll mouse over color images to view segments.
Best viewed in a wide browser window (1200 pixels or more).   Download SED & P(z) plots to view larger versions.
In P(z) plots: Yellow lines mark the cluster redshift z = 0.228,  

Object #3168   x,y = (1227, 2966)   RA, Dec = (06:03:33.288, 42:10:24.24) = (90.88870, 42.17340)   BPZ = 0.029 [0.016--0.827]   type = 11.00 (SB11_A_0_l)   stellarity = 0.70   chisq2 = 419.40   ODDS = 0.25   z_cluster = 0.228