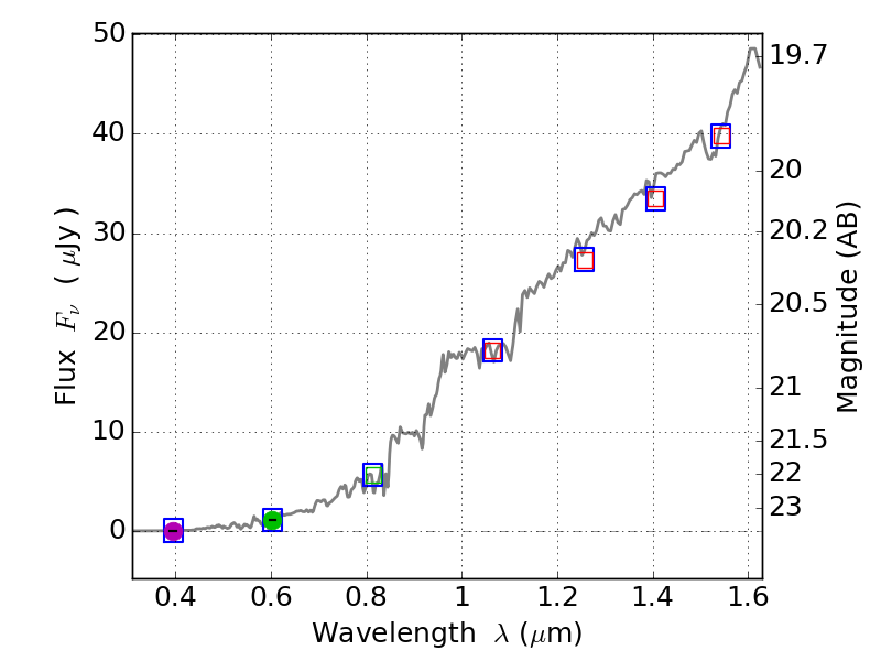
RXS0603+42-S IR detection object #306

Color images and BPZ results
Catalog: 306.cat
Black segments are analyzed here.   Roll mouse over color images to view segments.
Best viewed in a wide browser window (1200 pixels or more).   Download SED & P(z) plots to view larger versions.
In P(z) plots: Yellow lines mark the cluster redshift z = 0.228,  

Object #306   x,y = (1890, 4244)   RA, Dec = (06:03:29.712, 42:11:40.92) = (90.87380, 42.19470)   BPZ = 1.129 [0.537--3.649]   type = 5.00 (ES0_B10)   stellarity = 0.64   chisq2 = 0.00   ODDS = 0.22   z_cluster = 0.228