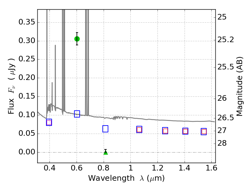
RXS0603+42-S IR detection object #268

Color images and BPZ results
Catalog: 268.cat
Black segments are analyzed here.   Roll mouse over color images to view segments.
Best viewed in a wide browser window (1200 pixels or more).   Download SED & P(z) plots to view larger versions.
In P(z) plots: Yellow lines mark the cluster redshift z = 0.228,  

Object #268   x,y = (2547, 4230)   RA, Dec = (06:03:26.160, 42:11:40.20) = (90.85900, 42.19450)   BPZ = 0.019 [0.010--0.040]   type = 11.00 (SB11_A_0_l)   stellarity = 0.66   chisq2 = 168.20   ODDS = 1.00   z_cluster = 0.228