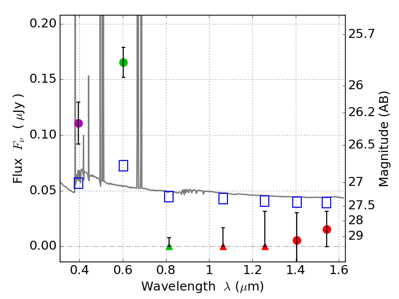
RXS0603+42-S IR detection object #2497

Color images and BPZ results
Catalog: 2497.cat
Black segments are analyzed here.   Roll mouse over color images to view segments.
Best viewed in a wide browser window (1200 pixels or more).   Download SED & P(z) plots to view larger versions.
In P(z) plots: Yellow lines mark the cluster redshift z = 0.228,  

Object #2497   x,y = (2982, 3299)   RA, Dec = (06:03:23.808, 42:10:44.40) = (90.84920, 42.17900)   BPZ = 0.021 [0.010--1.856]   type = 11.00 (SB11_A_0_l)   stellarity = 0.46   chisq2 = 21.36   ODDS = 0.96   z_cluster = 0.228