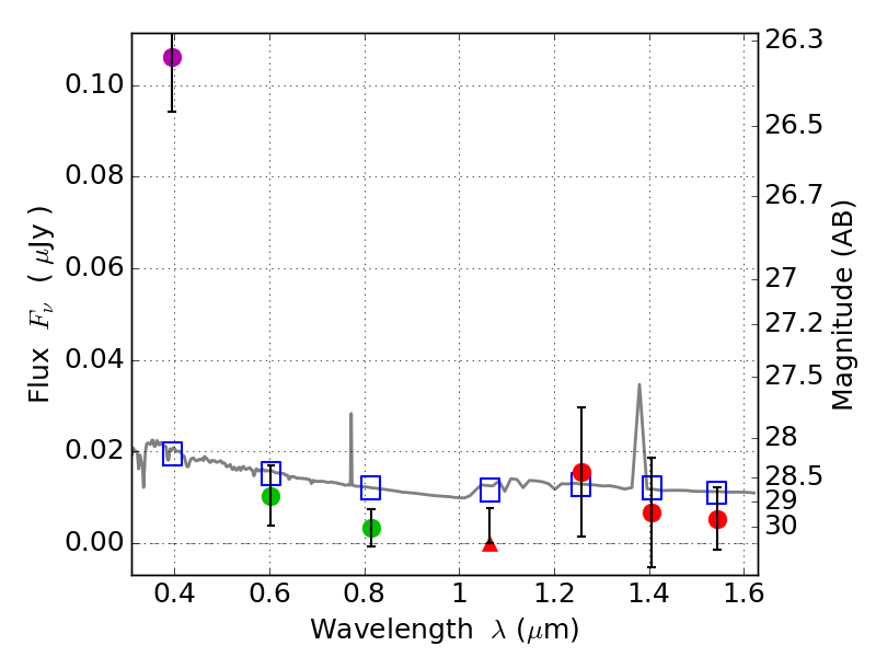
RXS0603+42-S IR detection object #2448

Color images and BPZ results
Catalog: 2448.cat
Black segments are analyzed here.   Roll mouse over color images to view segments.
Best viewed in a wide browser window (1200 pixels or more).   Download SED & P(z) plots to view larger versions.
In P(z) plots: Yellow lines mark the cluster redshift z = 0.228,  

Object #2448   x,y = (3450, 3328)   RA, Dec = (06:03:21.288, 42:10:46.20) = (90.83870, 42.17950)   BPZ = 1.761 [0.897--2.460]   type = 11.00 (SB11_A_0_l)   stellarity = 0.71   chisq2 = 14.80   ODDS = 0.32   z_cluster = 0.228