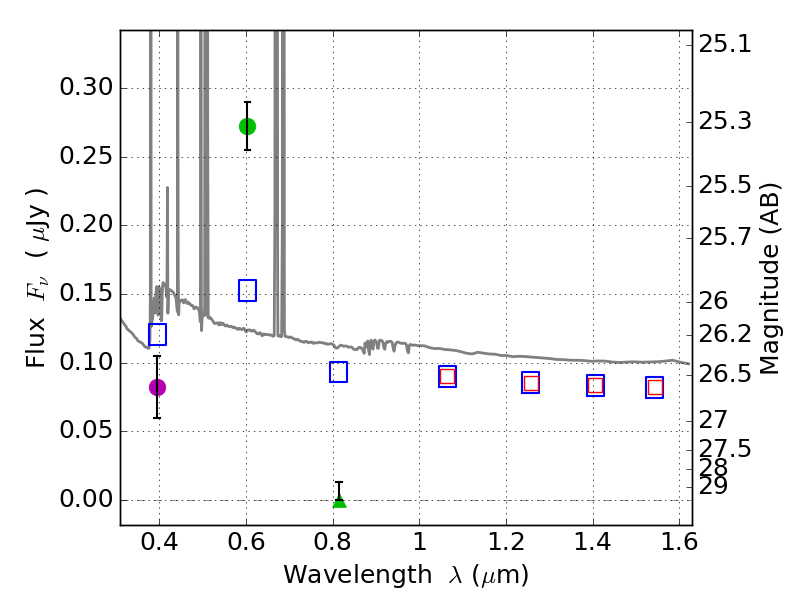
RXS0603+42-S IR detection object #2299

Color images and BPZ results
Catalog: 2299.cat
Black segments are analyzed here.   Roll mouse over color images to view segments.
Best viewed in a wide browser window (1200 pixels or more).   Download SED & P(z) plots to view larger versions.
In P(z) plots: Yellow lines mark the cluster redshift z = 0.228,  

Object #2299   x,y = (3946, 3420)   RA, Dec = (06:03:18.600, 42:10:51.60) = (90.82750, 42.18100)   BPZ = 0.020 [0.010--0.044]   type = 11.00 (SB11_A_0_l)   stellarity = 0.45   chisq2 = 68.72   ODDS = 1.00   z_cluster = 0.228