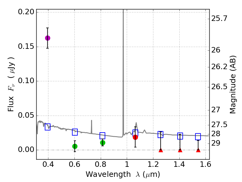
RXS0603+42-S IR detection object #2142

Color images and BPZ results
Catalog: 2142.cat
Black segments are analyzed here.   Roll mouse over color images to view segments.
Best viewed in a wide browser window (1200 pixels or more).   Download SED & P(z) plots to view larger versions.
In P(z) plots: Yellow lines mark the cluster redshift z = 0.228,  

Object #2142   x,y = (1909, 3481)   RA, Dec = (06:03:29.616, 42:10:55.20) = (90.87340, 42.18200)   BPZ = 1.612 [1.028--2.200]   type = 11.00 (SB11_A_0_l)   stellarity = 0.56   chisq2 = 21.97   ODDS = 0.37   z_cluster = 0.228