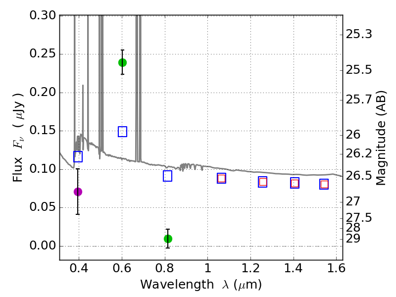
RXS0603+42-S IR detection object #178

Color images and BPZ results
Catalog: 178.cat
Black segments are analyzed here.   Roll mouse over color images to view segments.
Best viewed in a wide browser window (1200 pixels or more).   Download SED & P(z) plots to view larger versions.
In P(z) plots: Yellow lines mark the cluster redshift z = 0.228,  

Object #178   x,y = (2272, 4168)   RA, Dec = (06:03:27.648, 42:11:36.24) = (90.86520, 42.19340)   BPZ = 0.021 [0.010--0.045]   type = 11.00 (SB11_A_0_l)   stellarity = 0.10   chisq2 = 52.15   ODDS = 1.00   z_cluster = 0.228