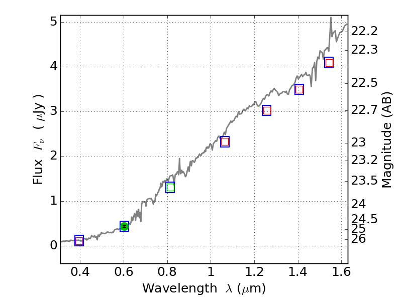
RXS0603+42-S IR detection object #1606

Color images and BPZ results
Catalog: 1606.cat
Black segments are analyzed here.   Roll mouse over color images to view segments.
Best viewed in a wide browser window (1200 pixels or more).   Download SED & P(z) plots to view larger versions.
In P(z) plots: Yellow lines mark the cluster redshift z = 0.228,  

Object #1606   x,y = (4398, 3667)   RA, Dec = (06:03:16.176, 42:11:06.36) = (90.81740, 42.18510)   BPZ = 0.708 [0.175--4.118]   type = 6.00 (Sbc_B10)   stellarity = 0.99   chisq2 = 990.00   ODDS = 0.09   z_cluster = 0.228