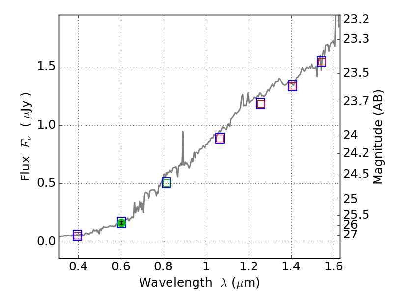
RXS0603+42-S IR detection object #145

Color images and BPZ results
Catalog: 145.cat
Black segments are analyzed here.   Roll mouse over color images to view segments.
Best viewed in a wide browser window (1200 pixels or more).   Download SED & P(z) plots to view larger versions.
In P(z) plots: Yellow lines mark the cluster redshift z = 0.228,  

Object #145   x,y = (2405, 4278)   RA, Dec = (06:03:26.928, 42:11:43.08) = (90.86220, 42.19530)   BPZ = 0.781 [0.201--4.969]   type = 6.20 (Sbc_B10 - Scd_B10)   stellarity = 0.99   chisq2 = 990.00   ODDS = 0.08   z_cluster = 0.228