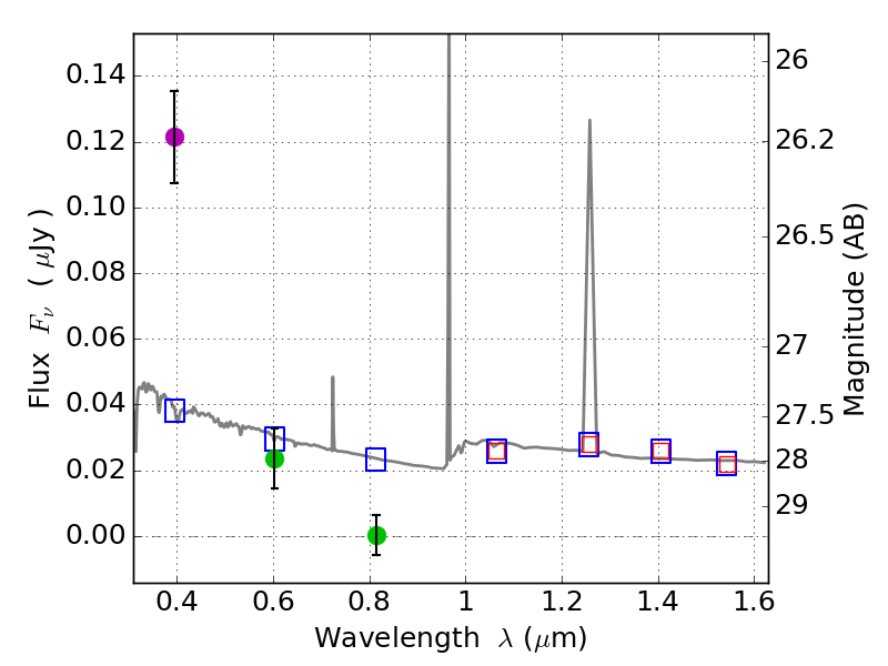
RXS0603+42-S IR detection object #1344

Color images and BPZ results
Catalog: 1344.cat
Black segments are analyzed here.   Roll mouse over color images to view segments.
Best viewed in a wide browser window (1200 pixels or more).   Download SED & P(z) plots to view larger versions.
In P(z) plots: Yellow lines mark the cluster redshift z = 0.228,  

Object #1344   x,y = (2050, 3761)   RA, Dec = (06:03:28.848, 42:11:12.12) = (90.87020, 42.18670)   BPZ = 1.595 [1.218--2.225]   type = 11.00 (SB11_A_0_l)   stellarity = 0.37   chisq2 = 45.77   ODDS = 0.32   z_cluster = 0.228