RXS0603+42-S IR detection object #1077

Color images and BPZ results
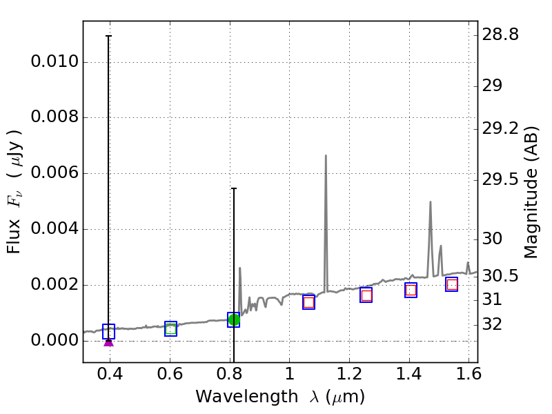
Catalog: 1077.cat
Black segments are analyzed here.   Roll mouse over color images to view segments.
Best viewed in a wide browser window (1200 pixels or more).   Download SED & P(z) plots to view larger versions.
In P(z) plots: Yellow lines mark the cluster redshift z = 0.228,  

Object #1077   x,y = (1732, 3882)   RA, Dec = (06:03:30.576, 42:11:19.32) = (90.87740, 42.18870)   BPZ = 1.243 [0.358--9.492]   type = 8.00 (SB1_B10)   stellarity = 0.72   chisq2 = 900.00   ODDS = 0.05   z_cluster = 0.228