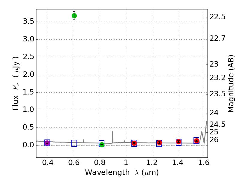
RXS0603+42-S ACS+IR detection object #7879

Color images and BPZ results
Catalog: 7879.cat
Black segments are analyzed here.   Roll mouse over color images to view segments.
Best viewed in a wide browser window (1200 pixels or more).   Download SED & P(z) plots to view larger versions.
In P(z) plots: Yellow lines mark the cluster redshift z = 0.228,  

Object #7879   x,y = (2098, 1456)   RA, Dec = (06:03:28.584, 42:08:53.52) = (90.86910, 42.14820)   BPZ = 1.414 [1.205--2.351]   type = 11.00 (SB11_A_0_l)   stellarity = 0.84   chisq2 = 269.80   ODDS = 0.56   z_cluster = 0.228