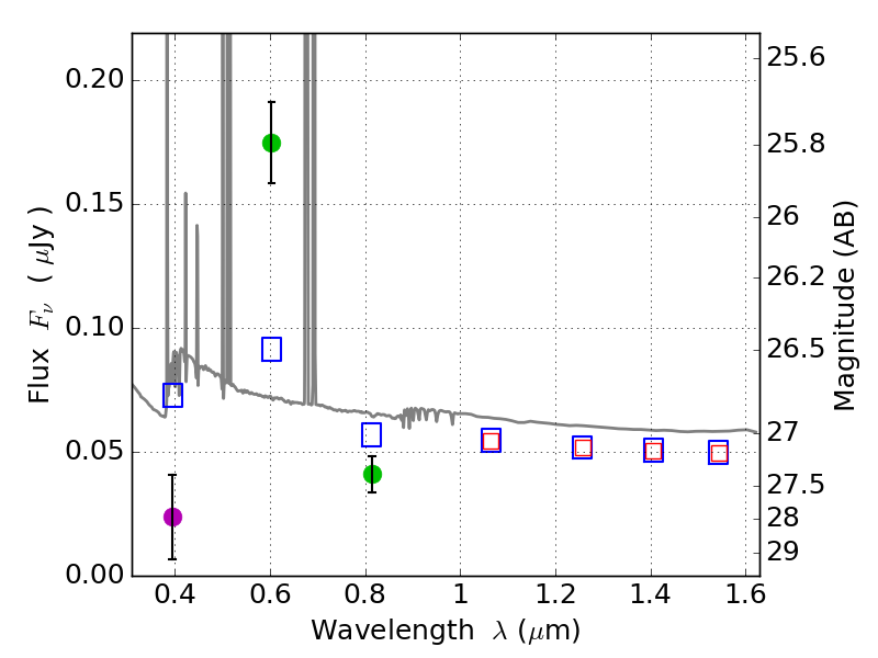
RXS0603+42-S ACS+IR detection object #7002

Color images and BPZ results
Catalog: 7002.cat
Black segments are analyzed here.   Roll mouse over color images to view segments.
Best viewed in a wide browser window (1200 pixels or more).   Download SED & P(z) plots to view larger versions.
In P(z) plots: Yellow lines mark the cluster redshift z = 0.228,  

Object #7002   x,y = (1414, 1718)   RA, Dec = (06:03:32.280, 42:09:09.36) = (90.88450, 42.15260)   BPZ = 0.027 [0.013--3.221]   type = 11.00 (SB11_A_0_l)   stellarity = 0.61   chisq2 = 33.06   ODDS = 0.38   z_cluster = 0.228