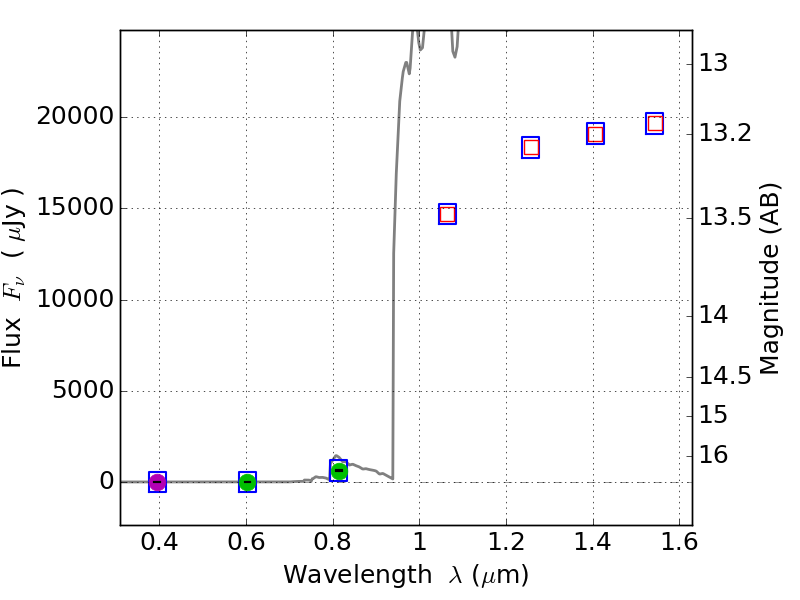
RXS0603+42-S ACS+IR detection object #5705

Color images and BPZ results
Catalog: 5705.cat
Black segments are analyzed here.   Roll mouse over color images to view segments.
Best viewed in a wide browser window (1200 pixels or more).   Download SED & P(z) plots to view larger versions.
In P(z) plots: Yellow lines mark the cluster redshift z = 0.228,  

Object #5705   x,y = (3892, 2393)   RA, Dec = (06:03:18.912, 42:09:49.68) = (90.82880, 42.16380)   BPZ = 6.729 [6.688--6.814]   type = 9.10 (SB2_B10 - SB3_B10)   stellarity = 1.00   chisq2 = 0.00   ODDS = 1.00   z_cluster = 0.228