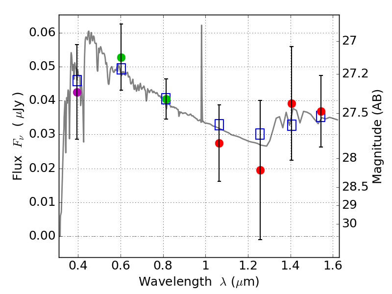
RXS0603+42-S ACS+IR detection object #5552

Color images and BPZ results
Catalog: 5552.cat
Black segments are analyzed here.   Roll mouse over color images to view segments.
Best viewed in a wide browser window (1200 pixels or more).   Download SED & P(z) plots to view larger versions.
In P(z) plots: Yellow lines mark the cluster redshift z = 0.228,  

Object #5552   x,y = (2385, 2239)   RA, Dec = (06:03:27.048, 42:09:40.68) = (90.86270, 42.16130)   BPZ = 2.515 [0.260--3.073]   type = 11.00 (SB11_A_0_l)   stellarity = 0.37   chisq2 = 0.20   ODDS = 0.27   z_cluster = 0.228