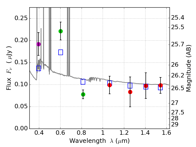
RXS0603+42-S ACS+IR detection object #4247

Color images and BPZ results
Catalog: 4247.cat
Black segments are analyzed here.   Roll mouse over color images to view segments.
Best viewed in a wide browser window (1200 pixels or more).   Download SED & P(z) plots to view larger versions.
In P(z) plots: Yellow lines mark the cluster redshift z = 0.228,  

Object #4247   x,y = (2160, 2844)   RA, Dec = (06:03:28.248, 42:10:17.04) = (90.86770, 42.17140)   BPZ = 0.022 [0.011--2.269]   type = 11.00 (SB11_A_0_l)   stellarity = 0.00   chisq2 = 2.95   ODDS = 0.39   z_cluster = 0.228