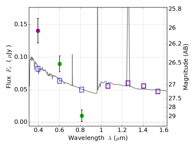
RXS0603+42-S ACS+IR detection object #4093

Color images and BPZ results
Catalog: 4093.cat
Black segments are analyzed here.   Roll mouse over color images to view segments.
Best viewed in a wide browser window (1200 pixels or more).   Download SED & P(z) plots to view larger versions.
In P(z) plots: Yellow lines mark the cluster redshift z = 0.228,  

Object #4093   x,y = (3871, 3401)   RA, Dec = (06:03:19.008, 42:10:50.52) = (90.82920, 42.18070)   BPZ = 1.595 [1.348--2.178]   type = 11.00 (SB11_A_0_l)   stellarity = 0.10   chisq2 = 27.34   ODDS = 0.37   z_cluster = 0.228