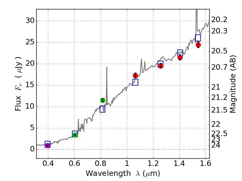
RXS0603+42-S ACS+IR detection object #3755

Color images and BPZ results
Catalog: 3755.cat
Black segments are analyzed here.   Roll mouse over color images to view segments.
Best viewed in a wide browser window (1200 pixels or more).   Download SED & P(z) plots to view larger versions.
In P(z) plots: Yellow lines mark the cluster redshift z = 0.228,  

Object #3755   x,y = (1957, 2981)   RA, Dec = (06:03:29.352, 42:10:25.32) = (90.87230, 42.17370)   BPZ = 0.692 [0.569--0.737]   type = 6.40 (Sbc_B10 - Scd_B10)   stellarity = 0.93   chisq2 = 0.81   ODDS = 0.69   z_cluster = 0.228