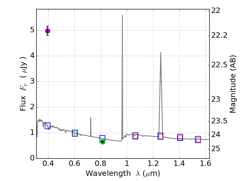
RXS0603+42-S ACS+IR detection object #2706

Color images and BPZ results
Catalog: 2706.cat
Black segments are analyzed here.   Roll mouse over color images to view segments.
Best viewed in a wide browser window (1200 pixels or more).   Download SED & P(z) plots to view larger versions.
In P(z) plots: Yellow lines mark the cluster redshift z = 0.228,  

Object #2706   x,y = (1407, 3481)   RA, Dec = (06:03:32.328, 42:10:55.20) = (90.88470, 42.18200)   BPZ = 1.593 [1.527--1.756]   type = 11.00 (SB11_A_0_l)   stellarity = 0.85   chisq2 = 373.20   ODDS = 0.88   z_cluster = 0.228