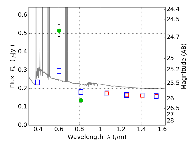
RXS0603+42-S ACS+IR detection object #1231

Color images and BPZ results
Catalog: 1231.cat
Black segments are analyzed here.   Roll mouse over color images to view segments.
Best viewed in a wide browser window (1200 pixels or more).   Download SED & P(z) plots to view larger versions.
In P(z) plots: Yellow lines mark the cluster redshift z = 0.228,  

Object #1231   x,y = (3313, 3965)   RA, Dec = (06:03:22.032, 42:11:24.36) = (90.84180, 42.19010)   BPZ = 0.020 [0.010--0.043]   type = 11.00 (SB11_A_0_l)   stellarity = 0.91   chisq2 = 36.72   ODDS = 1.00   z_cluster = 0.228