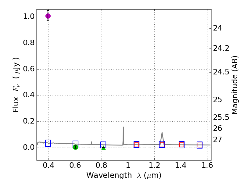
RXS0603+42-S IR detection object #947

Color images and BPZ results
Catalog: 947.cat
Black segments are analyzed here.   Roll mouse over color images to view segments.
Best viewed in a wide browser window (1200 pixels or more).   Download SED & P(z) plots to view larger versions.
In P(z) plots: Yellow lines mark the cluster redshift z = 0.228,  

Object #947   x,y = (3071, 3938)   RA, Dec = (06:03:23.328, 42:11:22.56) = (90.84720, 42.18960)   BPZ = 1.594 [1.173--2.177]   type = 11.00 (SB11_A_0_l)   stellarity = 0.97   chisq2 = 624.20   ODDS = 0.34   z_cluster = 0.228