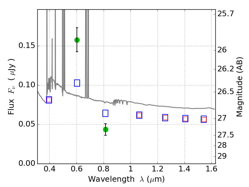
RXS0603+42-S IR detection object #874

Color images and BPZ results
Catalog: 874.cat
Black segments are analyzed here.   Roll mouse over color images to view segments.
Best viewed in a wide browser window (1200 pixels or more).   Download SED & P(z) plots to view larger versions.
In P(z) plots: Yellow lines mark the cluster redshift z = 0.228,  

Object #874   x,y = (3109, 3965)   RA, Dec = (06:03:23.136, 42:11:24.36) = (90.84640, 42.19010)   BPZ = 0.024 [0.011--2.841]   type = 11.00 (SB11_A_0_l)   stellarity = 0.87   chisq2 = 14.88   ODDS = 0.50   z_cluster = 0.228