RXS0603+42-S IR detection object #755

Color images and BPZ results
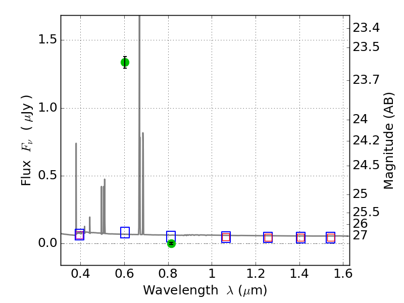
Catalog: 755.cat
Black segments are analyzed here.   Roll mouse over color images to view segments.
Best viewed in a wide browser window (1200 pixels or more).   Download SED & P(z) plots to view larger versions.
In P(z) plots: Yellow lines mark the cluster redshift z = 0.228,  

Object #755   x,y = (3201, 4016)   RA, Dec = (06:03:22.632, 42:11:27.24) = (90.84430, 42.19090)   BPZ = 0.020 [0.010--1.582]   type = 11.00 (SB11_A_0_l)   stellarity = 0.94   chisq2 = 837.10   ODDS = 0.97   z_cluster = 0.228