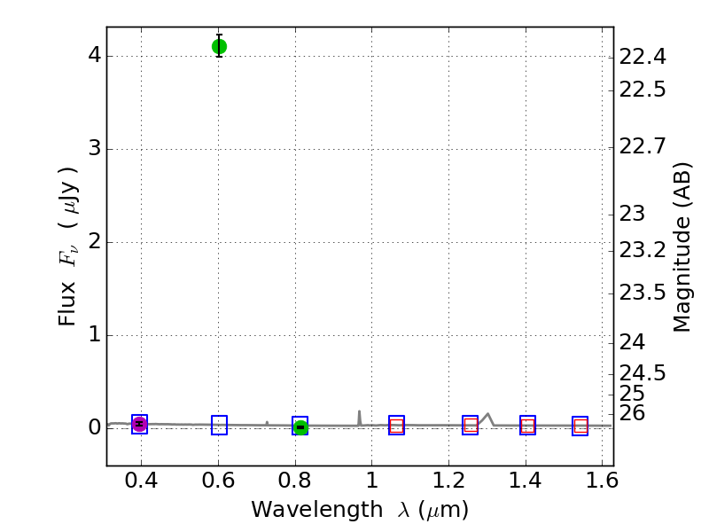
RXS0603+42-S IR detection object #7130

Color images and BPZ results
Catalog: 7130.cat
Black segments are analyzed here.   Roll mouse over color images to view segments.
Best viewed in a wide browser window (1200 pixels or more).   Download SED & P(z) plots to view larger versions.
In P(z) plots: Yellow lines mark the cluster redshift z = 0.228,  

Object #7130   x,y = (3392, 1029)   RA, Dec = (06:03:21.600, 42:08:27.96) = (90.84000, 42.14110)   BPZ = 1.596 [0.348--3.180]   type = 11.00 (SB11_A_0_l)   stellarity = 0.86   chisq2 = 1135.00   ODDS = 0.15   z_cluster = 0.228