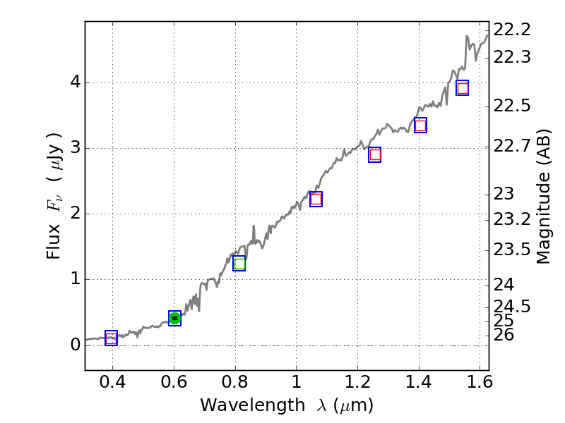
RXS0603+42-S IR detection object #71

Color images and BPZ results
Catalog: 71.cat
Black segments are analyzed here.   Roll mouse over color images to view segments.
Best viewed in a wide browser window (1200 pixels or more).   Download SED & P(z) plots to view larger versions.
In P(z) plots: Yellow lines mark the cluster redshift z = 0.228,  

Object #71   x,y = (2234, 4316)   RA, Dec = (06:03:27.864, 42:11:45.24) = (90.86610, 42.19590)   BPZ = 0.716 [0.178--4.203]   type = 6.00 (Sbc_B10)   stellarity = 0.68   chisq2 = 990.00   ODDS = 0.09   z_cluster = 0.228